11+ Level Method Chart Pdf

Project experience Assisting organizations undertaking. One cool thing about my gym is that the classes are broken into levels.


Time To Achieving A Designated Criterion Score Level A Survival Analysis Study Of Test Taker Performance On The Toefl Ibt Test Lora F Monfils Venessa F Manna 2021

Guide Chart and Profile Method of job evaluation the principles of salary management and performance management.

. Cleanliness specification levels for liquid samples. LEVEL JKR CIRCULATION AREA Corridors Passageway 100 50 100 Lift 150 100 100 Stairs 150 100 100 Escalator 150 150 100 External Covered Ways 30 50 30. TABE 1112 Language The goal of adult language instruction is to build communication skills necessary for functioning effectively on the job and in daily life.

The method detection limit MDL is defined as the minimum measured concentration of a substance that can be reported with 99. Older charts may show fractions of fathoms in depths of 10 fathoms or less. This chart is great for reference but is not really used for our day to day workouts.

As a result the new definition of the MDL is. Page 11 of 12. Relationship between TABE 11 12 Scale Scores and NRS levels.

Crossfit Seattle member here. Each level of TABE L E M D A has its own range of scale scores that are aligned to specific NRS levels. All standards are in counts per volume and provide easy methods for converting particle counts into limits that are simple to interpret.

Where source information is sufficiently precise depths between 11 and 15 fms may be given in fathoms and feet. HCC-Stafford Campus 2 -cide is a suffix used to indicate an agent that kills microorganisms while -static means a substance that prevents microorganisms from.


Exploring The Chemical Space Of Protein Glycosylation In Noncovalent Protein Complexes An Expedition Along Different Structural Levels Of Human Chorionic Gonadotropin By Employing Mass Spectrometry Analytical Chemistry


2022 Bern Consensus Statement On Shoulder Injury Prevention Rehabilitation And Return To Sport For Athletes At All Participation Levels Journal Of Orthopaedic Sports Physical Therapy


Quantum Field Theory Wikipedia


Pdf The Impact Of Urban Inequalities On Monitoring Progress Towards Sustainable Development Goal 11 Methodological Considerations Joao Porto De Albuquerque Academia Edu


Organizational Sustainability And Performance Improvement In Microfinance Institutions Mfis Managerial Insights Of What Why And How Emerald Insight


11 Sample Circular Organizational Charts In Pdf Ms Word


Level Method No Drama Fitness


Comparative Analysis Of Standardized Indicators For Smart Sustainable Cities What Indicators And Standards To Use And When Sciencedirect


Vocational Education And Training In Europe Latvia Cedefop


11 Outcome Report Templates Google Docs Word Pages Pdf Excel Free Premium Templates


15 Clinical Guidelines Now Recommend Vitamin D Nov 2021 Vitamindwiki


Effects Of Charge State Charge Distribution And Structure On The Ion Mobility Of Protein Ions In Helium Gas Results From Trajectory Method Calculations The Journal Of Physical Chemistry A


Free 5 Single Entry Bookkeeping Samples In Pdf


Level Methods Map Youtube


Higher Maternal Autonomy Is Associated With Reduced Child Stunting In Malawi Scientific Reports


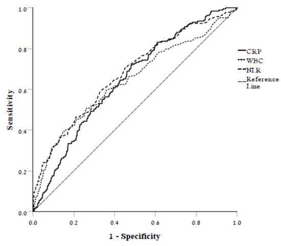
Jcm Free Full Text Age Dependent Biomarkers For Prediction Of In Hospital Mortality In Covid 19 Patients Html


Frontiers Metabolic Changes After A 24 Week Soccer Based Adaptation Of The Diabetes Prevention Program In Hispanic Males A One Arm Pilot Clinical Trial

Iklan Atas Artikel

Iklan Tengah Artikel 1

Iklan Tengah Artikel 2

Iklan Bawah Artikel